浸没式平板膜的几个质量标准、检测方法
1 .浸没式平板膜缺陷
膜缺陷是指膜的表层或深层存在的孔穴,其存在造成被分离物质短路,对膜的性能产生直接影响,阻碍了膜实现分子级水平上的有效分离和纯化。因此,在使用前应将存在缺陷的膜剔除。邵海玲等对国内膜进行了观察研究,按照大小和形状将膜孔分为三个层次四种类型,三个层次见表 2-13。

除了借助显微镜观察孔穴外还可以通过将其浸入水中(或膜的非溶剂中) 通过鼓泡测定:常在浸没式平片膜内注入小于0.2MPa压力的压缩空气,外侧充满纯水,此时应绝对无
气泡产生,以此作为判断膜有无缺陷的一般依据。膜缺陷存在的空穴形状的四种类型 (图 2-16):

1双眼皮型、鼠洞型、简状型、云状型。双眼皮型。穴口呈长型,穴边缘一侧较厚、光滑,另一侧较薄,中间围成一条沟形似人的双眼皮。
2 鼠洞型。穴口开口向上,较圆,洞弯曲藏于膜表皮下,与纤维相连。
3筒状型。穴口开口向上,呈圆形,如圆筒由表皮直达纤维。
4云状型。如小云团分布于膜表面,构成一簇。
2.浸没式平板膜厚度测量
浸没式平片膜的厚度一般在 90170um,测量厚度可采用精确度为0.01mm的螺旋测微仪或测厚仪,也可在显微镜或电子显微镜不目测。目前最为简单可靠的方法为螺旋千分尺,测量以稍有接触为限度,其优点是可使膜样品在统一承受一固定的压强下得到比较精确的结果。
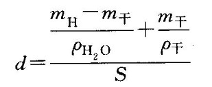
也可利用质量法计算膜的厚度,即利用湿膜质量与干膜质量之差进行计算:

式中,d为膜的厚度,pm;m为湿膜质量,kg;m为干膜质量,kg;PHo为水的密度,kg/m’;0-膜材料密度,kg/m;S为膜面积,m%。
3.浸没式平板膜的外观
外观质量要求用肉眼直接观察,膜表面平整有光泽、无皱痕、无破损;用肉眼在检光箱上检查膜表面的针孔、气泡等。浸没式平片膜的面积较大,故需要密封的边界较长,对边界的密封效果要求较为严格目前浸没式平片膜的边界密封最常用的有胶粘和超声波焊接。超声波焊接费用比胶粘高,但密封性能高,密封强度大,焊缝平整、光滑、美观,安全可靠,是浸没式平片膜的边界密封首选。